LLMs Encode How Difficult Problems Are
-
ArXiv URL: http://arxiv.org/abs/2510.18147v1
-
作者: Chris Russell
-
发布机构: University of Oxford
TL;DR
本文通过一系列实验发现,大型语言模型(LLMs)的内部激活向量中,确实以线性的方式编码了问题的难度,但这种编码与人类判断的对齐程度远高于与其它LLM性能评估的对齐程度;并且,在强化学习训练过程中,与人类判断一致的难度表征会得到加强,而与LLM性能相关的难度表征则会退化。
关键定义
本文主要沿用并验证了领域内已有的关键定义,并将其应用于难度表征的研究中,核心概念包括:
-
线性探针 (Linear Probes): 一种简单的线性模型,用于训练在从LLM特定层和Token位置提取的激活(activations)上,以预测某个“基准真实”标签(如问题难度)。本文使用它来验证难度信息是否线性存在于模型的表征空间中。
-
难度表征 (Difficulty Representation): 本文的核心假设,即问题的难易程度在LLM的激活空间中作为一个可被解码的、线性的方向或轴存在。本文区分了两种难度的来源:人类标注的难度和基于LLM性能评估的难度。
-
引导/操控 (Steering): 在模型推理生成过程中,通过向模型的激活向量中添加一个特定方向的向量(此处是由线性探针学习到的“从易到难”的难度向量),从而“引导”模型的生成行为,以观察其对模型性能和输出风格的影响。
-
基于可验证奖励的强化学习 (Reinforcement Learning from Verifiable Rewards, RLVR): 一种强化学习后训练方法,用于增强模型的推理能力。它使用基于规则的结果(如数学题的最终答案是否正确)作为奖励信号来优化模型。本文使用此方法来追踪难度表征在模型能力提升过程中的演变。
相关工作
当前,大型语言模型(LLMs)在处理复杂任务时表现出色,但一个令人困惑的现象是它们常常在看似更简单的问题上失败,表现出显著的不一致性。已有研究表明,一些高层次概念(如真实性、情感)在线性上编码于LLM的激活中,但对于“难度”这一概念是否存在类似的内部表征尚不清楚。此外,虽然LLMs在被直接提问时无法准确估计问题难度,但这并不意味着难度信息不存在于其内部表征中。
本文旨在解决以下具体问题:
- LLMs的内部表征是否编码了与人类判断一致的问题难度?
- 人类标注的难度与基于LLM自身性能评估的难度,这两种难度信号在模型的内部表征中有何差异?
- 通过“引导”技术操控这一难度表征,会对模型的性能产生什么影响?
- 在通过强化学习(如GRPO)提升模型能力的过程中,这种难度表征会如何演变?
本文方法
本文设计了一套系统的实验流程,通过线性探测、表征引导和追踪强化学习过程,来研究LLM内部的难度表征。
难度探测实验
-
数据与模型:实验使用了Easy2Hard-Bench中的两个数学子集:E2H-AMC(难度基于人类竞赛者的表现)和E2H-GSM8K(难度基于其他LLMs的表现)。研究涵盖了来自5个主要系列(Qwen, LLaMA, DeepSeek等)的60个不同大小和专长的模型变体。
-
探测方法:对每个问题,在模型生成答案的每个Token位置,提取所有层的激活(内部隐藏状态)。然后,训练一个线性回归探针,用这些激活来预测问题的真实难度分数(一个连续值)。
-
评估:使用5折交叉验证,并以预测难度与真实难度之间的斯皮尔曼秩相关系数(Spearman rank correlation, $\rho$)作为探针性能的度量。同时,通过拟合一个幂律公式来分析探针性能随模型参数量(N)变化的伸缩法则(scaling law):
\[1-\text{$\widehat{\rho}\_{\ell,p}^{\mathrm{CV}}$}=C\cdot N^{-\alpha}\]其中 $\alpha > 0$ 表示性能随模型增大而提升。
沿难度轴进行引导
基于难度探测实验中发现的“从易到难”的线性方向(即探针的权重向量),本文进行了引导实验。在推理时,将该向量乘以一个引导系数 $\alpha$ (ranging from -3 to +3) 后,加到模型的激活中。负系数 $\alpha < 0$ 表示朝“更容易”的方向引导,正系数 $\alpha > 0$ 表示朝“更难”的方向引导。通过观察模型在MATH500基准测试上的Pass@1准确率,来评估引导的效果。
在GRPO训练中追踪难度表征
为了探究难度表征如何随模型能力一同演变,本文对Qwen2.5-Math-1.5B模型进行了GRPO(一种策略梯度RL算法)训练。
- 训练设置:使用MATH训练集,并筛选出难度大于等于3的问题进行训练。在训练过程的每一步都保存模型检查点。
- 追踪与评估:对每个模型检查点,重复上述的难度探测实验,分别训练针对人类难度(E2H-AMC)和LLM难度(E2H-GSM8K)的探针。同时,在MATH500测试集上评估每个检查点的Pass@1准确率。通过这种方式,可以并行追踪模型任务性能和其内部难度表征强度的变化。
实验结论
人类判断的难度在LLM激活中被清晰地线性编码
| 数据集 | 最佳 $\widehat{\rho}_{\ell,p}^{\mathrm{CV}}$ | 模型(层,位置) |
|---|---|---|
| E2H-AMC | 0.8799 | Llama-3.1-32B-R1 (61, -2) |
| 0.8780 | Llama-3.1-32B-R1 (74, -1) | |
| E2H-Codeforces | 0.7980 | Llama-3.1-32B-Base (41, -1) |
| 0.7571 | Llama-3.1-8B-Base (16, -1) | |
| E2H-GSM8K | 0.5639 | Llama-3.1-32B-R1 (38, -3) |
| 0.5516 | Llama-3.1-32B-R1 (15, -5) |
如上表所示,探测人类难度(E2H-AMC)的探针性能非常高($\rho \approx 0.88$),而探测LLM难度(E2H-GSM8K)的探针性能则差很多($\rho \approx 0.58$)。这表明模型内部表征与人类感知的难度高度对齐,但与LLM自身性能评估的难度关联较弱。
难度表征随模型尺寸扩展,但存在差异

探针性能与模型大小存在幂律关系。如图所示,基于人类标签的数据集(E2H-AMC和E2H-Codeforces)表现出更强、更清晰的伸缩趋势($\alpha=0.045$ 和 $\alpha=0.066$),而基于LLM标签的GSM8K伸缩趋势最弱($\alpha=0.020$)。这进一步证明了人类难度信号在不同模型中更具鲁棒性。
最佳探测位置因任务领域而异

对于代码任务(Codeforces),50%的最佳探针出现在提示的最后一个Token位置。而对于数学任务(AMC, GSM8K),最佳探针位置分布在最后几个Tokens上,不完全集中在最后一个。这表明不同任务的难度信号在模型处理输入的不同阶段被编码。
引导模型表征可改善性能

在Qwen2.5-Math-1.5B模型上,沿“更容易”的方向引导($\alpha < 0$)显著提高了在MATH500上的准确率。例如,在 $\alpha=-3$ 时,模型倾向于生成更简洁、使用代码工具辅助的推理路径,从而减少了幻觉并得到正确答案。相反,向“更难”方向引导($\alpha > 0$)则降低了准确率。
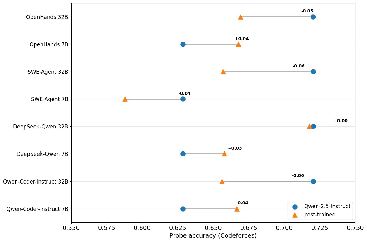
领域专门化的后训练对难度表征的影响好坏参半

与基础指令微调模型相比,额外的任务专属微调(如为代码任务优化的模型)对难度表征的影响不一。对于7B参数的模型,专属微调有轻微提升;但对于32B参数的模型,反而有轻微的性能下降。这表明指令微调本身已足以形成稳固的难度表征,尤其是在大模型中。
GRPO训练过程中的难度表征演变
| 模型 | Baseline Pass@1 | Peak Pass@1 | Peak Step |
|---|---|---|---|
| Qwen2.5–Math–1.5B (本文) | 64.7 | 76.9 | 43/67 |
| Oat–Zero–1.5B (Dr.GRPO 报告) | 61.8 | 74.2 | NA/11,200 |
本文的GRPO训练成功提升了模型的数学性能。在训练过程中:


- 人类难度表征得到加强:如图中上半部分(AMC probes)所示,随着训练步骤的增加,探测人类难度的探针性能保持稳定甚至有所提升。
- LLM难度表征发生退化:如图中下半部分(GSM8K probes)所示,探测LLM难度的探针性能在模型的早、中层普遍下降,说明GRPO训练过程会系统性地“覆写”掉这个不稳定的信号。

在排除了训练步数的影响后,探针性能与模型测试准确率之间的关系更加清晰:
- 人类难度探针的性能与模型性能呈强正相关($\beta$=+6.66),说明更强的难度表征伴随着更高的数学能力。
- LLM难度探针的性能与模型性能呈负相关($\beta$=-0.63),说明随着模型变强,其内部对LLM难度的表征反而变弱了。
总结
本文的发现揭示了一个关键的不对称性:LLMs能够很好地隐式表征人类感知的难度,但却无法在显式生成或表征其他LLM的难度时做到这一点。通过操控这一内部表征可以切实地改善模型性能。更重要的是,在通过强化学习提升能力时,模型会自发地加强与人类判断一致的难度表征,同时削弱与LLM性能相关的、不稳定的难度信号。这表明,一个精确、稳定的内部难度感知可能是发展高级推理能力(如数学)的功能性组成部分。