Retaining by Doing: The Role of On-Policy Data in Mitigating Forgetting
-
ArXiv URL: http://arxiv.org/abs/2510.18874v1
-
作者: Karthik Narasimhan; Danqi Chen; Noam Razin; Howard Chen
-
发布机构: Princeton University
TL;DR
本文通过系统性比较发现,强化学习(RL)在后训练中比监督微调(SFT)更能有效缓解灾难性遗忘,其根本原因在于RL利用在线策略(on-policy)数据所产生的“模式寻求”(mode-seeking)特性,能够在学习新任务的同时更好地保留模型的已有知识模式。
关键定义
本文沿用了现有概念,并通过新的视角对其在语言模型后训练中的作用进行了深入剖析:
- 灾难性遗忘 (Catastrophic forgetting):指模型在学习新任务时,其在先前任务上已经获得的能力显著退化的现象。在语言模型(LM)后训练中,这通常表现为在 instruction following, general knowledge, reasoning 等已有能力上的性能下降。
- 在线策略数据 (On-policy data):指用于训练的数据是由当前正在优化的策略(模型)生成的。这是强化学习(RL)的核心特征,与监督微调(SFT)通常使用固定的、离线策略(off-policy)的数据集形成对比。本文的核心论点是,数据是否“在线”是决定遗忘程度的关键。
- 模式寻求 (Mode-seeking) vs. 模式覆盖 (Mode-covering):这是描述两种KL散度(KL divergence)优化方向特性的术语。
- RL 对应反向KL散度最小化,具有“模式寻求”特性,倾向于将策略的概率质量集中在目标分布的某个高概率模式上。
- SFT 对应正向KL散度最小化,具有“模式覆盖”特性,倾向于扩展策略的分布以覆盖目标分布的所有模式。 本文反直觉地指出,在多模态策略下,RL的“模式寻求”特性更有利于防止遗忘。
- 增益 ($\Delta_{g}$) 与下降 ($\Delta_{d}$):本文用于衡量后训练效果的两个核心指标。
- 增益 (Gain):模型在目标任务上的准确率提升,$\Delta_{g} := \mathcal{A}(\pi_{\theta_T}, \mathcal{T}) - \mathcal{A}(\pi_{\theta_0}, \mathcal{T})$。
- 下降 (Drop):模型在非目标(保留)任务上的平均准确率下降,$\Delta_{d} := \frac{1}{M}\sum_{j=1}^{M} \mathcal{A}(\pi_{\theta_0}, \mathcal{T}’_j) - \mathcal{A}(\pi_{\theta_T}, \mathcal{T}’_j)$。理想的后训练应实现高增益和低下降。
相关工作
- 研究现状:通过监督微调(SFT)或强化学习(RL)等方法对预训练语言模型进行后训练,以适应特定任务或与人类偏好对齐,是当前的主流做法。然而,这一过程常常伴随着“灾难性遗忘”或被称为“对齐税(alignment tax)”的现象,即模型在获得新能力的同时,其原有的通用知识、推理或安全能力会受到损害。尽管已有研究观察到此现象,但对于不同后训练方法(特别是SFT和RL)在遗忘特性上的系统性差异及其根本原因,学界的理解仍然有限。
- 本文解决的问题:本文旨在解决以下具体问题:
- SFT和RL在导致灾难性遗忘方面有何不同?哪种方法更具鲁棒性?
- 造成这种差异的根本机制是什么?
- 基于这一机制,能否为缓解大语言模型后训练中的遗忘问题提供实践指导?
本文方法
本文的核心论证分为三步:首先通过大量实验证明RL比SFT更能缓解遗忘;然后通过一个简化的多模态分布模型,从理论上解释了为何RL的“模式寻求”特性(源于其在线策略数据)能够更好地保留旧知识;最后通过消融实验验证了这一假设,并提出了更高效的实践建议。
实验对比:RL比SFT遗忘更少
本文首先对SFT和RL的遗忘模式进行了广泛的实证比较。
- 实验设置:
- 模型:覆盖不同系列和规模的 Llama-3 和 Qwen-2.5 模型。
- 任务:涵盖指令遵循 (IFEval)、通用知识 (MMLU) และ算术推理 (Countdown) 三种目标任务。
- 对比方法:比较了三种方法:
- SFT:使用由更强模型 (Llama-3.3-70B-Instruct) 生成的离线数据进行微调。
- Self-SFT:使用模型初始策略生成的数据进行微调,是一种常见的自学习SFT。
- RL:使用 GRPO 算法进行强化学习。
- 实验发现:
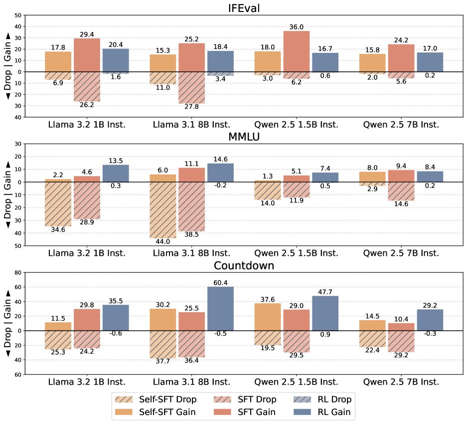
- 如下图所示,在所有模型、数据集和任务上,RL(GRPO)均能在实现可比或更高目标任务增益(Gain)的同时,造成显著更低的非目标任务下降(Drop)。
- 相比之下,两种SFT方法都表现出明显的权衡:为了在目标任务上获得高增益,通常不得不接受在其他任务上的严重性能下降。特别是SFT,虽然在指令遵循任务上获得了最高增益,但也付出了最大的遗忘代价。

对比了三种方法在不同模型和数据集上的增益(Gain,实心条)与下降(Drop,阴影条)。RL (GRPO) 在保持低Drop的同时实现了高Gain。
- 研究还发现,SFT方法对学习率等超参数很敏感。高学习率虽然能快速提升目标任务性能,但会导致严重遗忘;而低学习率虽然能缓解遗忘,却难以达到理想的目标性能,即使增加训练轮次也无济于事。

Self-SFT 在不同学习率和训练轮次下的表现,展示了目标性能与遗忘之间的权衡。
理论解释:KL散度与多模态策略
为了解释RL为何能更好地缓解遗忘,本文构建了一个简化的理论模型,核心思想是分析模型策略在多模态分布下的更新动态。

遗忘动态图示。顶部(SFT/正向KL):为了覆盖新任务模式,策略从旧知识模式中转移了概率质量,导致遗忘。底部(RL/反向KL):策略通过移动自身的新模式来匹配目标,而旧模式基本保持不变。
- KL散度视角:
-
SFT 优化交叉熵损失,等价于最小化正向KL散度 $$KL(π* π_θ)$$,具有“模式覆盖”特性。 -
RL 优化KL正则化的奖励,等价于最小化反向KL散度 $$KL(π_θ π*)$$,具有“模式寻求”特性。
-
- 反直觉现象的解释:
传统观点认为,“模式寻求”更容易导致遗忘(因为它会放弃一些模式),而“模式覆盖”应该能更好地保留所有模式。本文的实验结果与此相悖。本文通过模拟实验揭示,初始策略的模态结构是关键。
- 单模态策略模拟:如果假设训练策略是单峰的,那么正向KL(SFT)确实比反向KL(RL)遗忘得更少。这符合传统直觉。

- 多模态策略模拟:然而,对于像大语言模型这样复杂的系统,其策略更可能是多模态的(包含多种知识和能力)。在这种更现实的设定下,模拟结果截然相反:
- 正向KL (SFT):为了覆盖新的目标模式,它会“拉伸”整个概率分布,导致原本代表旧知识的模式的概率质量被稀释或转移,从而引发遗忘。
- 反向KL (RL):它倾向于移动策略中与新任务最接近的那个模式去匹配目标,而其他代表旧知识的模式则基本不受影响。

多模态设置下,反向KL(右图)通过移动一个模式来学习新任务,同时保持旧模式完整;而正向KL(左图和中图)则会破坏旧模式。
这个发现是本文的核心洞察:在多模态策略下,RL源于在线策略数据的“模式寻求”行为,反而成为其缓解遗忘的关键优势。
- 单模态策略模拟:如果假设训练策略是单峰的,那么正向KL(SFT)确实比反向KL(RL)遗忘得更少。这符合传统直觉。
验证与实践:在线策略数据是关键
本文通过一系列消融实验,验证了“在线策略数据”是RL缓解遗忘的主要原因,并探索了更具实践价值的“近似在线策略”方法。
创新点:在线策略数据是主因
RL与SFT有三个主要区别:(i) 在线策略数据 vs. 离线策略数据;(ii) KL正则化;(iii) 优势函数估计。实验旨在排除 (ii) 和 (iii) 的影响。
- KL正则化并非主因:移除GRPO算法中的KL正则项后,模型依然保持了与原始GRPO相似的高增益、低下降特性。这表明KL正则化不是缓解遗忘的关键。

对比有无KL正则化的GRPO,两者在增益-下降权衡上表现相似。
- 优势函数估计并非主因:将GRPO与不使用优势函数估计的经典RL算法REINFORCE进行比较。结果显示,REINFORCE虽然在提升目标任务性能上不如GRPO,但其遗忘水平同样很低。这说明优势函数等算法细节主要影响学习效率,而缓解遗忘的共性在于它们都使用了在线策略数据。
| 方法 | 模型 | 任务 | 增益 ($\Delta_g$) | 下降 ($\Delta_d$) |
|---|---|---|---|---|
| SFT | Llama-3.1-8B | IFEval | 23.33 | 14.50 |
| REINFORCE | Llama-3.1-8B | IFEval | 7.78 | 0.82 |
| GRPO | Llama-3.1-8B | IFEval | 14.89 | 1.10 |
| SFT | Llama-3.1-8B | MMLU | 15.68 | 8.87 |
| REINFORCE | Llama-3.1-8B | MMLU | 7.95 | 0.58 |
| GRPO | Llama-3.1-8B | MMLU | 9.09 | 0.44 |
优点:近似在线策略数据即可奏效
完全的在线策略学习(每步都重新生成数据)计算成本高昂。本文探索了更高效的“近似在线策略”方法。
- 方法:Iterative-SFT,即在每个训练 epoch 开始时,使用当前模型重新生成一次训练数据,再进行SFT。
- 结果:如下图所示,Iterative-SFT 能够在达到与SFT相当甚至更高目标任务准确率的同时,其遗忘程度(Drop)远低于SFT和Self-SFT,非常接近于完全在线的RL(GRPO)方法。

对比三种SFT变体。Iterative-SFT(迭代SFT)使用每轮开始时生成的近似在线数据,其遗忘程度(底部图表,接近0)远小于使用完全离线数据的SFT和Self-SFT。
这一发现具有重要的实践意义:无需完全采用RL的复杂框架,仅通过在SFT流程中引入周期性的数据再生成,就可以在很大程度上缓解灾难性遗忘。
实验结论
- 核心结论:本文通过全面的实验和理论分析证明,强化学习(RL)在语言模型后训练中比监督微调(SFT)更能有效缓解灾难性遗忘。
- 关键原因:这种优势并非来自KL正则化或特定的优势函数设计,而根本上源于RL对在线策略数据(on-policy data) 的使用。这种机制使得RL在优化时表现出“模式寻求”特性,在被视为多模态的语言模型策略中,这有助于在学习新任务的同时,保护已有的知识模式不受干扰。
- 最佳表现:RL方法(如GRPO)在所有实验中都展现了最佳的“高增益-低下降”权衡,能够在提升目标任务性能的同时,最大程度地保留非目标任务的能力。
- 实践启示:完全的在线策略学习计算开销大,但本文发现,采用近似在线策略数据(例如,在每个epoch开始时重新生成数据的Iterative-SFT)也足以显著减轻遗忘。这为在实践中平衡性能、成本和模型能力保持提供了一条有效且高效的途径。